HISTORICO JUNTAS COMUNIDAD
TORRES DE YOMELY

Elija el año que desea visualizar

En esta sección accederá a gran parte del histórico generado desde los comienzos de esta Comunidad. Las Convocatorias con sus respectivas Actas, Juntas Extraordinarias, Presupuestos, Gastos, Estado de Cuentas, Locales Comerciales, Proyectos y Mejoras, Derramas, Obras y Mantenimiento, Contratación Externa, entre otros. Informarles que poco a poco sigo ampliando y digitalizando nuestra base de datos gracias a la colaboración de varios vecinos.


1975 1992 1993 1994 1995 1996 1997 1998 1999 2000 2001 2002 2003 2004 2005 2006 2007 2008 2009 2010 2011 2012 2013 2014 2015 2020 2022
1975 Estatutos Torres de Yomely
1992 Estado de Cuentas
1993 Estado de Cuentas
1994 Locales 1994 Presupuestos
1995 Acta 1995 Junta
1996 Junta Yomely
1997 Junta 1997 Prop Valk 1997 Acta Valk
Junta Acta 1998 Comercial 1998 Presupuestos
1999 Acta Centro Comercial1 Centro Comercial2
2000 Acta Junta Yomely 2000 Junta Ordinanaria
2001 Acta Junta 2001 Propuesta Derrama
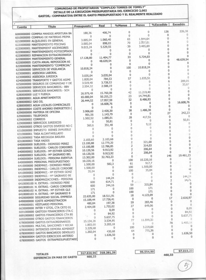
2002 Junta Acta Auditoria Carta Rolando1
Junta Ordinanaria Acta Yomely
Junta Doc Acta Senten Valk Desahu Valk
Junta Acta Burofax Comunidad
Junta Ordinanaria Acta Junta
Junta Ordinanaria Acta Yomely
Acta Carta Ines Otra Junta Informe Cuentas
Junta Ordinanaria Acta Carta Vecinos
2010 Acta Junta Yomely
Pendiente
2012 Junta Ordinanaria
Junta Ordinanaria Acta
2014 Junta Ordinanaria
Junta Ordinanaria Acta Yomely
Junta Acta Informe Presupuesto
2022 Convocatoria Junta Extraordinaria